将单体精确地引入聚合物链构建序列可控聚合物仍然是现代高分子合成化学中艰巨的挑战之一。值得注意的是,由两种单体组成的交替、周期或嵌段共聚物代表了序列可控嵌段共聚物最简单的组合形式。要实现两种单体选择性聚合合成序列可控嵌段共聚物,催化剂至关重要。目前,制备序列可控嵌段共聚物颇具吸引力的一种策略是串联两种不同的聚合反应,如开环聚合(ROP)和开环共聚合(ROCOP)反应,这两类聚合反应得益于环状单体和共聚单体种类繁多,为多样性序列聚合物的合成提供了可能。
本研究中,王晓武教授和李志波教授团队使用组内之前报道的单组分鏻盐硼路易斯酸碱对(PBB-Br)作为催化剂,通过一锅法顺序添加单体混合物,使得两种单体的聚合反应在ROCOP和ROP之间多次切换,合成了一系列序列结构明确的嵌段共聚物,高达33个嵌段(图1)。

图1通过PBB-Br催化的可切换聚合得到序列可控多嵌段共聚物示意图
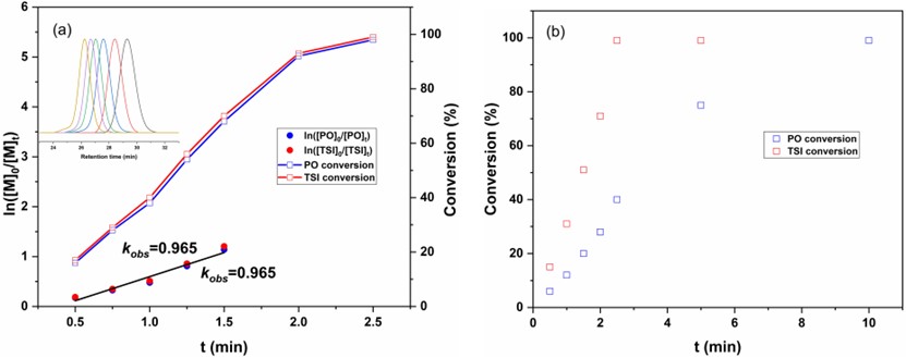
首先,前期研究表明PBB-Br可以高效地催化环氧丙烷(PO)的ROP制备聚醚。进一步地,团队考察了PBB-Br催化PO与对甲苯磺酸异氰酸酯(TSI)交替共聚的可行性。研究结果表明在[PO]0/[TSI]0/[PBB-Br]0= 100/100/1的条件下,两种单体在25℃下5分钟内就可以完全消耗。生成聚合物的GPC曲线呈现窄分布,两个单体的消耗速率相同(图2a),核磁显示聚合物主链是两个单体交替共聚合得到的新型聚氨酯PU (poly(PO-alt-TSI))。动力学实验表明TSI和PO的ROCOP中,聚合反应对于两种单体各自遵循一级动力学。在[PO]0/[TSI]0= 500/200摩尔比条件下,通过1H NMR波谱监测共聚反应,实验数据表明TSI在2.5 min被完全消耗,PO/TSI的ROCOP停止(图2b)。此后,PO的均聚反应开始。该结果表明,催化体系可实现PO/TSI的ROCOP到PO的ROP的切换。在得到的共聚物的DOSY NMR中仅观察到一个扩散系数,这表明共聚物仅由一种成分构成。因此,从过量PO与TSI的混合物中,PBB-Br能够以高效且可控的方式选择性地生成PU-b-PPO共聚物。

图2(a)[PO]0/[TSI]0/[PBB-Br]0= 200/200/1,PO和TSI的ROCOP反应转化率和ln([M]0/[M]t)随时间变化的曲线图;(b)[PO]0/[TSI]0/[PBB-Br]0= 500/200/1,PO和TSI的ROCOP反应转化率和ln([M]0/[M]t)随时间变化的曲线图
DFT计算表明,PO与TSI的ROCOP比两者的均聚反应更易进行。这种变化归因于PBB-Br对TSI的选择性活化作用,使其聚合反应路径从PO的ROP转变为PO与TSI的ROCOP。
基于上述研究结果,通过重复添加过量PO的PO/TSI混合物,可一锅法实现序列可控的多嵌段共聚物的制备(图3,路径1和路径2)。他们首先尝试通过连续加入了四批PO/TSI = 100/50的混合物合成八嵌段共聚物。通过1H NMR波谱监测共聚反应,结果表明每次PO/TSI混合物添加后,PO和TSI均被完全消耗,同时得到聚合物分子量按预期逐步的增加,且聚合物的分子量分布保持在较窄水平。此外,DOSY NMR波谱仅显示一个扩散系数,有力地证明了八嵌段(PU-b-PPO)4的均一性,而非PU和PPO的混合物。进一步地,通过连续六次加料,他们实现了完美的十二嵌段(PU-b-PPO)6共聚物的合成。

图3通过分批加入PO/TSI混合物形成多嵌段共聚物的示意图
以对苯二甲醇(BDM)作为链转移剂,通过九步顺序加料,实现了分子量分布窄的三十三嵌段共聚物的合成。
之后,团队研究了多嵌段共聚物的序列和嵌段数量对其热性能和力学性能的影响。聚醚(PPO)的玻璃化转变温度通常为-67℃,而合成的聚氨酯(PU)的玻璃化转变温度则为107℃(图4),所得的二嵌段、八嵌段、十二嵌段、三十三嵌段共聚物的DSC曲线在40℃左右仅显示一个宽的玻璃化转变温度,这可能是由于所得聚合物中纯PPO或纯PU片段的微相分离不足,且PPO和PU的嵌段长度较短造成的。含50% PU的十三嵌段共聚物(Mn=67.6 kg/mol)表现出很高的断裂伸长率(1020%)和适度的拉伸强度(9.5 MPa)。因此,它可作为一种新型热塑性弹性体。这些结果证实了单体序列和嵌段数量对生成的多嵌段共聚物的性能有显著影响。

图4(a)PPO均聚物和共聚物的DSC曲线; (b) [PPO18-b-PU27]3-b-PPO727-b-[PU27-b-PPO18]3十三嵌段共聚物的应力-应变曲线
该工作展示了一种通用且简便的一锅法合成具有聚氨酯和聚醚段的嵌段聚合物的方法。该合成方法利用了PBB-Br在PO/TSI的ROCOP和PO的ROP之间自切换的催化能力。更为重要的是,PBB-Br对链转移试剂良好的耐受性,为合成更复杂的多嵌段共聚物(多达33个嵌段)甚至多样化的拓扑结构提供了可能。合成的高分子量的多嵌段共聚物表现出热塑性弹性体的性质,该类嵌段聚合物有望为新型聚氨酯弹性体的开发及应用提供新的思路。
该工作以研究论文的形式在线发表于Science China Chemistry,论文第一作者为365英国上市公司官网化工学院硕士研究生赵家越,通讯作者为365英国上市公司官网王晓武教授和李志波教授以及吉林大学的钟荣林教授。研究得到了国家自然科学基金、山东省自然科学面上基金、科技部重点研发项目的资助。论文链接:https://doi.org/10.1007/s11426-025-2811-y