低分子量脂肪族聚醚,尤其是聚环氧乙烷(PEO)和聚环氧丙烷(PPO),在药物缓释、化妆品、表面活性剂、聚电解质等方面具有广泛的应用,尤其是作为聚氨酯材料的主要组分,具有重要的应用需求。环氧单体的开环聚合(ROP)是制备高性能聚醚的有效方法。碱金属氢氧化物是PO阴离子聚合的有效引发剂,但该类引发剂存在生成聚醚分子量有限、聚合效率低、聚合条件苛刻和链转移副反应等问题。双金属腈化物Zn3[Co(CN)6]2(DMC)已被用于聚醚的工业化生产,但存在金属残留和聚醚降解等问题。因此,开发高效和环保的有机催化剂来实现环氧单体的ROP制备聚醚符合当前绿色化学的发展趋势,有机催化剂的开发也是目前高分子合成催化领域重要的研究方向。
化工学院王晓武、李志波团队最近在有机催化体系开环聚合制备PPO方面取得一定进展。该团队设计合成了单组分Lewis酸碱对磷盐有机硼催化剂(图1)。与双组分二元Lewis酸碱对体系相比,单组分Lewis酸碱对体系在环氧化物开环聚合中表现更强的协同效应。该体系催化的PO的开环聚合具有以下优点:(1)在-30℃至0℃范围内具有活性聚合特性;(2)极高的单体/催化剂负载量(高达30000/1摩尔比)和Mn(>105g/mol)(3)水作为有效的链转移试剂,可以合成了不同分子量的α-羟基/ω-OH PPO(Mn= 1.1–3.6 kg/mol,Đ=1.06-1.09)。(4)磷盐骨架的特定结构有利于双硼烷通过两个硼中心同时稳定ROP过程中的活性种和活化单体来实现PO的可控及活性聚合。

图1.单组分Lewis酸碱对磷盐有机硼催化剂的合成
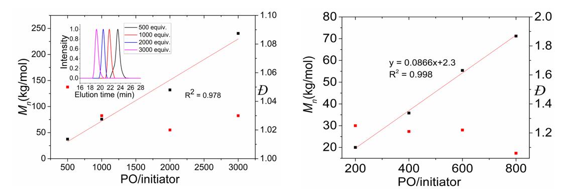
该研究评估了Lewis碱和温度对PO开环聚合的影响。发现路易斯碱(卤素离子)对PO开环聚合活性影响较小,升高温度会导致Mn和Đ的增加。通过分子量与聚合度的线性关系及链增长实验证明了催化体系具有活性聚合特征(图2)。通过基质辅助激光解吸/电离飞行时间质谱(MALDI-ToF-MS)对所得到的PPO的端基进行了表征(图3),不存在α-烯丙基氧基/ω-OH PPO,表明聚合过程中无活性种链转移到PO的副反应。

图2a,聚合物分子量与聚合度的关系图;2b,PO链增长实验

图3. PPO的MALDI-ToF MS表征
此外,动力学实验验证了聚合反应与PO单体浓度呈零级动力学,与催化剂浓度呈一级动力学。通过原位核磁对催化剂及活性中心进行了研究,并结合DFT理论计算,提出了可能的聚合机理。计算结果表明膦盐骨架具有较大的腔体空间,有利于PO单体的吸附及活性种在腔体中的链增长,磷盐特定结构的存在降低了硼的路易斯酸性。反应引发步中开环PO亚甲基位点比次甲基位点能垒要低(9.9 kcal/mol vs 12.3kcal/mol),开环第二个PO分子比引发步能垒高2.4 kcal/mol,因此开环第二个PO分子是决速步。这与得到H-T链结构的PPO结果一致。
该催化剂有望应用在制备超高分子量聚醚、泊洛沙姆嵌段共聚物和聚醚大单体(减水剂)等方面。该工作以研究论文的形式在线发表在国际知名期刊ACS Catalysis。365英国上市公司官网化工学院王晓武副教授为论文第一作者,吉林大学钟荣林博士,李志波教授为论文共同通讯作者。该项工作得到了国家自然科学基金、科技部重点研发计划等项目的资助。
论文链接:
https://pubs.acs.org/doi/full/10.1021/acscatal.2c02170